Formulas Reference Sheet

Useful Summation Formulas:
{D686040C-10DF-4AEB-A5A4-1F98D89CCD49}.png

{EB3412F2-E029-4351-B361-2314A9CFB45D}.png
{02A7D9CA-6D48-41CA-9E57-8353DCA5FB85}.png
Common integrals:

(i)sinxdx=cosx+C(ii)cosxdx=sinx+C(iii)sec2xdx=tanx+C(iv)secxtanxdx=secx+C(v)csc2xdx=cotx+C(vi)cscxcotxdx=cscx+C(vii)11x2dx=arcsinx+C(viii)11x2dx=arccosx+C(ix)11+x2dx=arctanx+C(x)exdx=ex+C(xi)axdx=axlna+C(a>0, a1)(xii)1xdx=ln|x|+C(xiii)secxdx=ln|secx+tanx|+C(xiv)cscxdx=ln|cscx+cotx|+C(xv)tanxdx=ln|cosx|+C(xvi)cotxdx=ln|sinx|+C(xvi)cotxdx=ln|sinx|+C

Remember (Pythagorean Identities):

(i)tan2(x)+1=sec2(x)(ii)sin2(x)+cos2(x)=1(iii)cot2(x)+1=csc2(x)

(iii) comes from dividing by sin(x) for (ii)
{37A94789-DA11-4494-8E4F-35431E0B80BD}.png
They assume you use this domain, don't write it every time! Make it make sense!
{8ECA5295-8F7A-4E4D-91F7-D4813875A831}.png
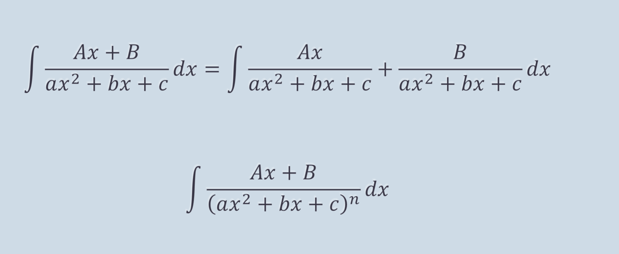
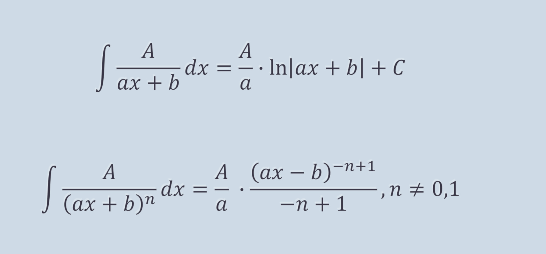
Partial Fraction Decomposition:
{43E01A5B-8BC7-4676-8430-225776F1F794}.png
{CE6AAC4A-8E6D-49B8-9DF0-0C9306001C58}.png
{644C6899-0852-41CB-8FE8-4111A351037F}.png
{61ECAE2B-9DE8-4B54-BA04-3D06DF304452}.png